《魔兽世界》10.0前夕潜行者天赋推荐
《魔兽世界》10.0前夕版本中贼有了更多的新机制,很多玩家想要了解潜行者有什么新天赋,怎么加点,下面给大家带来《魔兽世界》10.0前夕潜行者天赋推荐,希望能够帮助大家。

《魔兽世界》10.0前夕潜行者天赋推荐
0 狂徒算现在比较稳定的了, 最近包括数值在内都不怎么动了, 那么就先做一份出来给大家
0.1 刺杀10.0目前的想法是会变成一个缺少深度的专精, 可能还有改动, 所以先放着
0.2 敏锐10.0目前的看法是会变成一个从各方面都专攻于PVP的专精, 设计师作为曾经的PVP王者级玩家, 也算是下了功夫的, 但是PVE方面感觉还不够稳定, 再等一周看看吧
狂徒在10.0版本没有在核心机制上进行重做,但是获得了大量的新技能组合和新的天赋效果:
通用天赋获得了交叉专精的封印和影舞以及新天赋菊花茶;
专精天赋获得了胆大、藏锋、时运、连射和连斩等新天赋配合原有机制;
通用天赋和专精天赋的双深邃提供7星配置;专精天赋的无休刀锋被允许作用于恐惧之刃。
狂徒在10.0版本的新套装机制简单而且非常适配狂徒的基础机制,两件套根据消耗连击点提升部分产星技能伤害,四件套通过消耗半价手枪射击提升终结技伤害。
巨龙时代版本的狂徒对比暗影界,既获得了以新天赋藏锋为核心的伏击流派,又可以选择以时运深华潜伏胜机系统进一步挖掘骨骰buff的收益。
与此同时,作为狂徒系统骨干的可趁之机得到了连射的大幅强化, 并且可以通过藏锋寻时和胆大妄为获得新的突破,加上能被无休减冷却的恐惧之刃,确保了狂徒新版本的新鲜感和夯实。
职业优点:极强的适配性,无论是单体、顺劈或者群体作战环境下,狂徒都能在不特殊改动天赋的基础上游刃有余。输出节奏明确,爆发与平稳期间隔短,再加上超长的近战攻击范围,可以抵抗高强度的环境压力。并且获得了新的团队功能性,减少敌人3%伤害。
职业缺点:爆发力不足,假如把狂徒看作一把高强度泛用武器,无法通过改变天赋进行针对敌人特性的强化,主要表现在两方面:1)无法精确规划技能,而且战斗过程中技能不能有所保留;2)没有可控爆发性冷却技能或天赋,虽然有应对一切问题的能力,但是却不能成为解决问题的战术。

该单体天赋是一个构建在恐惧之刃、封印命运和暗影之舞之上围绕骨骰buff的输出体系。
输出体系的明线是以恐惧之刃作为资源生产骨干带动所有受到无休刀锋冷却缩减效果的技能进入更快更高速的运转。
另一方面,灌铅骰子、大量的斩击和胆大妄为的触发伏击配合影舞以量变引起质变的方式改变骨骰的获得,并以时运延长获得的buff,进一步获取稳定又高额的收益回报,这是该输出系统的暗线。
与此同时,该天赋配置还拥有以迅捷连射为主、封印命运为辅的资源获取天赋确保非爆发期间系统的稳定运转。
在资源消耗方面,倏燃斩击、洞悉弱点和绿皮柳枝等天赋大幅提高了系统对资源的转化效率。
俯瞰该单体天赋配置,输出以冲动灌铅双骰buff启动,并迅速进入恐惧之刃和影舞的爆发期配合潜伏胜机获得大量骨骰buff获取机会,之后在高质量骨骰buff组合下使用时运延长骨骰buff确保一个30-50秒的高骨骰buff输出环境。
并且在20-30秒之后利用时运骨骰buff剩余时间超过30秒不会被手动骨骰消耗的机制主动使用命运骨骰尝试再次获取(更)高质量的骨骰buff组合。
整个输出循环在确保绿皮高亮手枪射击、恐惧之刃和影舞的使用下,需要维持对目标的洞悉弱点debuff和正中眉心debuff,在迅疾连射和无休刀锋的支持下,很简单。
buff评价:
精准定位、强势连击和骷髅黑帆为高质量buff,埋藏宝藏和大乱斗为低质量buff,其中以精准定位提供收益最高(极高),大乱斗提供收益最低(累计时间超过40秒之后收益几乎为0)。
残忍精准buff辅以伤害和连击点的进一步支持,不过由于恐惧之刃的存在,收益没有想象中那么大。
时运的使用一般以精准定位、强势连击和骷髅黑帆(以及残忍精准)出现2个以上的组合时使用。

该AOE天赋是一个构建在藏锋寻时、胆大妄为和迅疾连射之上围绕高质量产星技能的输出体系。
输出体系的明线是以影袭和伏击的可乘之机获得大量半价高亮手枪,再以迅疾连射配合胆大妄为获取触发伏击构成资源消耗与资源获取一体的系统。
另一方面,因为强化伏击天赋,触发伏击配合封印命运/强势连击/骷髅黑帆提高了产星效率, 加速终结,算是一条比较弱的暗线。
该天赋配置同样配备了封印命运确保没有触发伏击和迅疾连射时影袭的产星能力,并且加入了菊花茶解决AOE环境下能量意外断档带来的dps损失问题。
在资源消耗方面,除了绿皮柳枝等常规天赋对资源转化效率的提升外,还有一条资源转化的暗线。
伏击在藏锋寻时天赋支持下潜移默化的改变了资源转化。
没有藏锋寻时天赋时,3影袭获得1次可乘之机+斩击,该次可乘之机被迅疾连射复制2份变成3次可乘之机+斩击,通过胆大妄为获得1次触发伏击,此时循环节结束重新进行影袭。该循环节模板输出为3+1影袭+3快拔手枪+1伏击+2斩击。
有藏锋寻时天赋时,3影袭获得1次可乘之机+斩击,该可乘之机被迅疾连射复制2份变成3次可乘之机+斩击,通过胆大妄为获得1次触发伏击,此时循环节因为藏锋寻时可能不结束。
因此将此循环节重复3次,3次触发伏击获得1次二连伏击+斩击,并同时获得3层可趁之机+斩击和一次新的触发伏击,所以我们获得了一个因为藏锋寻时而循环的循环节。
对比没有藏锋寻时天赋,单独观察这个新循环节,同样以3影袭为基础代价,新循环节提供了稍弱(没有洞悉弱点加成)但是数量相同的3+1影袭+3快把手枪+1伏击+2斩击,并且以40%几率额外提供了一个伏击和3个高亮半价手枪的伤害和近两套连击点。
此时我们再重新以连续的角度看两种循环节,先看新循环节重复三次,我们获得(3+1影袭+3快拔手枪+1伏击+2斩击)*3+伏击+3快拔手枪+3斩击+伏击[+循环],我们重新排列新循环节,(3+1影袭+3快拔手枪+2斩击+伏击)*3+(伏击+3快拔手枪+3斩击+伏击)[+循环]。
再看旧循环节重复三次,(3+1影袭+3快拔手枪+伏击+2斩击)*3,我们把3伏击对应的斩击补充并重新排列旧循环节,(3+1影袭+3快拔手枪+2斩击)*3+伏击*2+斩击+伏击+影袭+斩击[+循环](此处我们假设2伏击->1斩击+1伏击1影袭->1斩击),然后再重新排列,((3+1)影袭+3快拔手枪+2斩击+伏击)*3+(+影袭+2斩击)[+循环](影袭触发循环)。
继续将上述重复三次的旧循环节再重复三次观察一个循环,3次补充影袭触发1次高亮手枪:(((3+1)影袭+3快拔手枪+2斩击+伏击)*3+(+影袭+2斩击))*3+影袭+3快拔手枪+斩击+伏击,此状态我们可以通过循环3次补充影袭推进循环节, 所以旧循环节也变得可以循环了。
接下来,我们对旧循环节和新循环节做一些设定并构建一个粗糙的模型,考察藏锋流派的特点。
我们设定3影袭触发二连和3次快拔手枪,3次伏击触发藏锋获得二连和3次快拔手枪,3次快拔手枪触发胆大妄为。
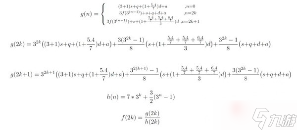
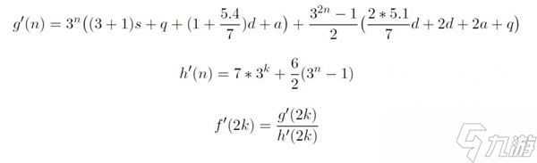
设影袭伤害s,伏击伤害a,3次快拔手枪伤害q,斩击伤害d,不考虑眉心和斩击的替换问题, 不考虑绿皮增伤等其他增伤, 不考虑骨骰buff影响, 考虑无情1.4连击点,考虑封印命运0.7连击点。g为伤害,h为gcd量,f为dps。

新循环节

新旧循环比较作图

我们可以清楚的看到,从输出机制上来说,藏锋流派因为伏击的高伤害和伏击额外资源生产,输出对战斗时间是不断递增逼近极限的,并且因为资源向伏击转化,整体输出更高。
老流派的输出机制仅靠低伤害的影袭生产高亮资源并且循环节在伏击处结束,必须在额外循环后靠填充的影袭推进循环节。
所以老流派输出机制本质上在x>0的区间上就是不断重复,所以曲线非常的平稳,因为大量影袭所以伤害低。
额外需要说的一点是,因为老流派可以出倏然斩击,时运等天赋给系统提供不同的增益效果,图上的数值并不能具有特别实质的意义。
而且讲道理不应该做成连续函数图, 应该是离散的, 不过先将就看吧。
围绕快拔手枪->斩击->伏击->斩击- -->快拔手枪的基础循环节,尽快消耗资源转化伤害。
特别要注意的是aoe期间要尽可能的追求资源的运转,因为在藏锋流派中,资源消耗同样也是资源生产,既然消耗资源能转化伤害同时又能生产新资源,那么旧流派的“在资源不溢出的情况下存资源不消耗而去使用其他资源生产技能填充连击点”是不合理的。
败血刃伤自身单体提供15W伤害(不错了)的同时还能提供一次伏击机会, 这个伏击因为伏击伤害很高可以产生大量输出并且加速资源循环。
buff评价:强势连击和骷髅黑帆为高质量buff,大乱斗为低质量buff,其中以骷髅黑帆提供收益最高(极极高),大乱斗提供收益最低(累计时间超过40秒之后收益几乎为0)。
残忍精准buff辅以伤害和连击点的进一步支持,收益第三。精准定位和埋藏宝藏这两个buff都紧随残忍精准,落后不多。
因为狂徒的AOE输出是基本以单体输出为模板进行复制的,所以通过不同的单体天赋可以派生不同的AOE天赋;同时即便是藏锋流派, 通用天赋也可以有不同选择。
喜欢时运单体天赋的玩家可以自行进行一些修改以符合AOE的需求。
合理转移千钧重击、强化切割或者胆大妄为到AOE相关的天赋可以极大提高AOE能力但又不会对输出系统和循环造成过大的影响, 包括骨骰buff的选择习惯,装备属性的配置等等
藏锋流派目前还有
放弃封印命运选择影舞的配置,
放弃刀锋冲锋选择败血的配置,
放弃千钧重击选择潜伏的配置,
以及他们之间不同的组合.
这些配置都有各自的强势之处,在目前模拟依旧不算优化的情况下,这些天赋配置都是可行,可以去尝试的。
这里我给出相关模拟图
图1:藏锋六剑, 六套天赋模拟差距在0.01之内

图2:藏锋boss战单目标180s

图3:藏锋boss战ADD战180s

图4:藏锋8目标40秒无嗜血

图5:藏锋8目标120秒嗜血

单体和AOE循环都以暴击>全能为主。具体可以等新版本大家各自模拟, 建议以Top gear进行模拟, 而不是根据属性权重决定装备取舍。
以上就是给大家带来的《魔兽世界》10.0前夕潜行者天赋推荐介绍啦,想要了解更多魔兽世界游戏的最新资讯与攻略,可以多多关注我们九游游戏攻略网站哦。